-
Towards intelligent processing: Machine learning-based prediction of flow curves and hot workability maps for Ti71Fe25.15Sn3.85 alloyby Jain, Reliance;Jain, Sandeep;Dewangan, Sheetal Kumar;Rahul, M.R.;Samal, Sumanta;Youn, Gyosik;Jeon, Yongho;Biswas, Krishanu;Phanikumar, Gandham;Ahn, ByungminJournal of Materials Research and Technology 2025, 39, 8665-8673; https://doi.org/10.1016/j.jmrt.2025.11.174AbstractTo identify the best conditions for hot deformation, it is necessary to design innovative alloy systems. Data on flow stress and strain under various hot working scenarios are critical for creating processing (Hot Workability) maps. The deformation characteristics of Ti71Fe25.15Sn3.85 ternary alloys were explored through high-temperature compression experiments by a Gleeble® simulator at different temperature (700 °C, 800 °C, 900 °C, and 950 °C) with strain rates of 0.01 s−1, 0.1 s−1, and 10 s−1. The alloy exhibited a fine eutectic structure composed of β-Ti and FeTi phases, alongside coarse dendritic Ti3Sn and FeTi phases. Five machine learning (ML) models were employed for predicting the flow curve for another strain rate 1 s−1 and generating processing maps. The random forest (RF) model shows exceptional accuracy an R2 (coefficient of determination) of 96.7 %, RMSE (root mean square error) of 9.6 %, and MAE (mean absolute error) of 6.4 %.Keywords: Ternary alloys; Bimodal eutectic; Hot workability; Machine learning
-
176
- 작성자박은영
- 작성일2026-02-06
- 28
- 동영상동영상
-
Interfacial Charge Dynamics and Optical Constraints in Chlorophyll-Functionalized TiO2 Nanotube Arrayby Kanghyun Lee, Abraham Seo, Yujin Lee, Seyeon Kim, Sanghyuk Lee, Suyeon Chae, Inho Nam, Sungju Yu, Soomin ParkInternational Journal of Energy Research 2025, 3924822; https://doi.org/10.1155/er/3924822AbstractNatural pigments offer promise for visible-light harvesting, but their exciton transport and photostability remain limiting factors. Here, we present a biohybrid photoelectrode comprising chlorophyll (Chl) immobilized onto anodized TiO2 nanotube (TNT) arrays. Controlled deposition yields a hierarchical trilayer structure featuring capillary-driven infiltration and tunable optical thickness. Transient photocurrent measurements reveal a synergistic regime in which moderate Chl loading and optimal illumination maximize charge generation. Spectral and time-resolved analyses indicate that exciton quenching occurs via energy delocalization and interfacial electron injection. In contrast, excessive loading leads to exciton confinement, self-shading, and trap-assisted recombination, which collectively suppress charge extraction. These results delineate a design window in which light absorption, exciton mobility, and photostability are cooptimized, offering practical guidance for integrating natural pigments into photoelectrochemical (PEC) systems.Keywords: biohybrid photoelectrodes; chlorophyll; exciton transport; interfacial electron injection; TiO2 nanotube arrays
-
174
- 작성자박은영
- 작성일2026-02-06
- 35
- 동영상동영상
-
Condensation of the Golgi Apparatus Activates YAP1 to Promote Gastric Cancer Progressionby Jinyoung Kim, Chandani Shrestha, Gwangbin Lee, Dasom Jung, Annie Zhao, Junyoung Cho, Ji Hae Nahm, Shinwon Kang, Jung Hwan Yoon, Bum-Ho Bin, Dongwoo Chae, Seung Min Jeong, Eun Kyung Lee, Jiyoon KimCancer Research 2025, 85(22), 4398–4414; https://doi.org/10.1158/0008-5472.can-24-3920AbstractAlterations in the structure of the Golgi apparatus play a pivotal role in cancer progression and invasion. A better understanding of how Golgi morphology regulates the metastatic potential of cancer cells could help identify potential treatment strategies. In this study, we investigated how specific structural variations in the Golgi, particularly fragmentation and condensation, influence the malignancy of gastric cancer using human cell lines, xenograft mouse models, and human patient tissue samples. Gastric cancer cells with condensed Golgi structures exhibited increased proliferation and migration. Mechanistic analyses indicated that Golgi condensation–associated malignancy was driven by enhanced formation of Golgi-derived microtubules, elevated vesicular trafficking, and augmented nuclear translocation of YAP1, a key transcriptional regulator of cell proliferation and tumorigenesis. Importantly, treatment with an agent that induces Golgi fragmentation significantly suppressed tumor growth in a xenograft mouse model. Furthermore, signet-ring cell carcinoma, an aggressive subtype of diffuse gastric cancer, exhibited a stronger inverse correlation between YAP1 activation and the Golgi area than both intestinal-type and non–signet ring cell carcinoma. These findings underscore the critical role of Golgi apparatus dynamics in oncogenic signaling pathways and reveal therapeutic targets in gastric cancer.
-
172
- 작성자박은영
- 작성일2026-02-06
- 43
- 동영상동영상
-
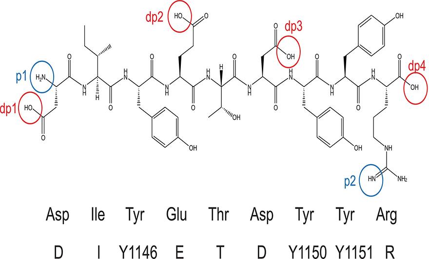
UV and IR spectroscopy of singly protonated DIYETDYYR, a tryptic peptide from the regulatory loop of insulin receptorby Hyo Nam Jeon, Shun-ichi Ishiuchi, Masaaki Fujii, Hyuk KangBulletin of the Korean Chemical Society 2025, 46(12), 1212-1219; https://doi.org/10.1002/bkcs.70086AbstractDIYETDYYR is a tryptic peptide from the regulatory loop of insulin receptor, which has the three tyrosine residues need for activation of the protein. In order to spectroscopically differentiate the tyrosine residues, singly protonated DIYETDYYR and its phenylalanine-substituted analogs were studied by cryogenic ion spectroscopy. By comparing the UV absorption of the peptide at room temperature with those of phenylalanine-substituted ones, the second and the third tyrosine residues showed UV absorption between 35 000 and 35 200 cm−1, while the first tyrosine residue did not. Comparing the infrared (IR) spectra of the peptides at cryogenic temperature, the second tyrosine residue was found to have a hydrogen-bonded phenolic OH. The IR spectra were explained by density-functional-based tight-binding calculations. The structure of DIYETDYYR was tentatively assigned to the one with a hydrogen bond between the second tyrosine and the C-terminus.Keywords: laser spectroscopy; mass spectrometry; peptides; phosphorylation; protein modifications
-
170
- 작성자박은영
- 작성일2026-02-06
- 37
- 동영상동영상
-
THz time-of-flight imaging with real-time surface-tracking for enhanced spatial resolutionby Hoseong Yoo, Byung Hee Son, Jangsun Kim, Yeong Hwan AhnJournal of Physics D: Applied Physics 2025, 58(45), 455102; https://doi.org/10.1088/1361-6463/ae1846AbstractIn this study, we improved the spatial resolution of Terahertz (THz) time-of-flight (ToF) imaging by incorporating the in-situ surface-tracking method and reflective optics with a short focal length. We introduced an off-axis parabolic mirror with a focal length of 25.4 mm as a scan lens, which dramatically improved spatial resolution; with the full-width Rayleigh resolution reaching 0.46 mm. To overcome the limitations imposed by the narrow depth of focus in practical applications with large sample height variations, we have incorporated the real-time surface-tracking technique into THz-ToF imaging. In other words, we maintained the distance between the ToF unit and the sample surface in-situ by using height information extracted from the THz-ToF results. The spatial resolution improved dramatically in this way, compared to the conventional constant height mode. Our imaging tool is powerful for inspecting circuit boards containing various semiconductor-packaged chips with large height variations, without losing enhanced spatial resolution. In addition, the method can inspect chips attached to the curved surface, enabling us to find embedded defects such as disconnected wires in a nondestructive manner.Keywords: High entropy alloy; Oxidation resistance; Weight gain; Oxide scale; Machine learning
-
168
- 작성자박은영
- 작성일2026-02-06
- 31
- 동영상동영상
-
Decoding weight-gain patterns in tungsten-containing refractory high-entropy alloys under high-temperature oxidation through machine learningby Dewangan, Sheetal Kumar;Baghel, Vivek Singh;Lee, Hansung;Nagarjuna, Cheenepalli;Youn, Gyosik;Kumar, Vinod;Ahn, ByungminJournal of Materials Research and Technology 2025, 39, 5251-5261; https://doi.org/10.1016/j.jmrt.2025.10.189AbstractThis work investigates the high-temperature (850 °C) oxidation behavior of tungsten-containing high-entropy alloys (HEAs) and develops a predictive framework for their oxidation behavior. Oxide scale evolution was characterized using XRD, SEM, and EDS, revealing that moderate W additions (0.05W and 0.1W) achieved the lowest parabolic oxidation rate constants (∼1.5 × 10−10 and ∼1.4 × 10−10 g2/cm4·s, respectively), whereas excess W (0.5W) increased the rate constant to ∼8.6 × 10−10 g2/cm4·s. These results confirm that controlled W incorporation enhances oxidation resistance, while excessive W destabilizes protective scales. To complement experiments, machine learning models were trained to predict oxidation-induced mass gain. Among them, the random forest algorithm provided the best predictive performance, with a correlation coefficient (R) of 0.999 and minimal mean squared error. By integrating quantitative oxidation data with predictive modeling, this study delivers new insights into W's role in scale stability and demonstrates machine learning as a powerful tool for guiding HEA design.Keywords: High entropy alloy; Oxidation resistance; Weight gain; Oxide scale; Machine learning
-
166
- 작성자박은영
- 작성일2026-02-06
- 34
- 동영상동영상
-
Artificial Neural Network Model for Thermal Conductivity Estimation of Metal Oxide Water-Based Nanofluidsby Mane, Nikhil S.;Dewangan, Sheetal Kumar;Mukherjee, Sayantan;Mane, Pradnyavati;Singh, Deepak Kumar;Saluja, Ravindra SinghComputers, Materials & Continua 2025, 86(1), 1-16; https://doi.org/10.32604/cmc.2025.072090AbstractThe thermal conductivity of nanofluids is an important property that influences the heat transfer capabilities of nanofluids. Researchers rely on experimental investigations to explore nanofluid properties, as it is a necessary step before their practical application. As these investigations are time and resource-consuming undertakings, an effective prediction model can significantly improve the efficiency of research operations. In this work, an Artificial Neural Network (ANN) model is developed to predict the thermal conductivity of metal oxide water-based nanofluid. For this, a comprehensive set of 691 data points was collected from the literature. This dataset is split into training (70%), validation (15%), and testing (15%) and used to train the ANN model. The developed model is a backpropagation artificial neural network with a 4–12–1 architecture. The performance of the developed model shows high accuracy with R values above 0.90 and rapid convergence. It shows that the developed ANN model accurately predicts the thermal conductivity of nanofluids.Keywords: Artificial neural networks; nanofluids; thermal conductivity; prediction
-
164
- 작성자박은영
- 작성일2026-02-06
- 30
- 동영상동영상
-
-
162
- 작성자박은영
- 작성일2026-02-06
- 36
- 동영상동영상
-
Conformalized outlier detection for mass spectrometry data by Yangha Chung; Johan Lim, Xinlei Wang, Soohyun AhnChemometrics and Intelligent Laboratory Systems 2025, 267, 105539; https://doi.org/10.1016/j.chemolab.2025.105539AbstractQuality control procedures are crucial for ensuring the reliability of mass spectrometry (MS) data, vital in biomarker discovery and understanding complex biological systems. However, existing methods often concentrate solely on either sample or peak outlier detection, rely on subjective criteria, and employ overly uniform thresholds based on asymptotic distributions, thereby failing to adequately capture the characteristics of the data. In this paper, we introduce a novel approach, CPOD (Conformal Prediction for Outlier Detection), leveraging conformal prediction for outlier detection in MS data analysis. CPOD simultaneously identifies outlier samples and peaks based on data-driven and distribution-free principles. Rigorous numerical evaluations and comparisons with existing methods demonstrate superior diagnostic performance. Application to real LC-MRM data underscores practical utility, enhancing data reliability and reproducibility in MS studies.Keywords: Conformal prediction; Heterogeneous; Mass-spectrometry data; Outlier detection; Quality control
-
160
- 작성자박은영
- 작성일2026-02-06
- 37
- 동영상동영상
-
Topological edge states and disorder robustness in one-dimensional off-diagonal mosaic latticesby Nguyen, Ba Phi;Kim, KihongResults in Physics 2025, 77, 108433; https://doi.org/10.1016/j.rinp.2025.108433AbstractWe investigate topological edge states in one-dimensional off-diagonal mosaic lattices, where nearest-neighbor hopping amplitudes are modulated periodically with period 𝜅 > 1. Analytically, we demonstrate that discrete edge states emerge at energy levels 𝐸 = 𝜖 + 2𝑡 cos(𝜋𝑖∕𝜅) (𝑖 = 1,…, 𝜅 − 1), extending the Su–Schrieffer–Heeger model to multi-band systems. Numerical simulations show that these edge states are robustly localized and display characteristic nodal structures, with their existence being strongly dictated by the specific edgearrangement of long and short bonds. We further examine their stability under off-diagonal disorder, where the hopping amplitudes 𝛽 fluctuate randomly at intervals of 𝜅. Using the inverse participation ratio as a localization measure, we show that these topological edge states remain robust over a broad range of disorder strengths. In contrast, additional 𝛽-dependent edge states that appear for 𝜅 ≥ 4 are fragile and vanish even under relatively weak disorder. These findings highlight a rich interplay between topology, periodic modulation, and disorder, offering insights for engineering multi-gap topological phases and their realization in synthetic quantum and photonic systems.Keywords: Mosaic lattice model; Extended SSH model; Topological edge states; Disorder effects; Bulk-boundary correspondence
-
158
- 작성자박은영
- 작성일2026-02-06
- 32
- 동영상동영상